CAMECA SIMS仪器非常适用于研究不同层的组成并表征掺杂物和杂质中的元素分布,是新型LED器件研发和过程控制的优质选择。
IMS 7f-Auto是硅纯化工艺质量控制的优选工具,质量控制是确保硅基太阳能电池器件的高产量制造的前提条件。
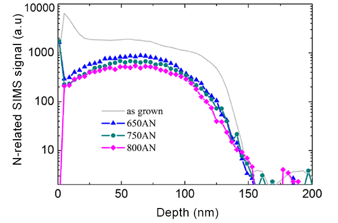
掺杂了氮等离子体的氧化亚铜(Cu2O)薄膜中的SIMS氮浓度深度分布图有助于提高该材料在低成本太阳能转换和光催化应用中的导电性。
动态SIMS仪器非常适用于表征各种CIGS薄膜中的元素深度分布(基质种类和碱金属Na和K)
概述利用原子探针层析成像技术开拓的研发机会 ——从氢到新型SOFC陶瓷材料